Приклад розрахунку задачі

1.ГІДРОСТАТИКА
1.3.Гідростатичний тиск на криволінійну поверхню


ЗАДАЧА 1. Умова: Визначити гідростатичний тиск на секторний затвор радіуса 3 м й шириною 2 м.

Test picture

Варіант задачі:


АЛГОРИТМ РОЗРАХУНКУ

(горизонтальна й вертикальна проекції вектора сили гідростатичного тиску, модуль сили, кут "фи" напряму дії)

1.Гідростатичного тиску на вертикальну проекцію криволінійної поверхні:

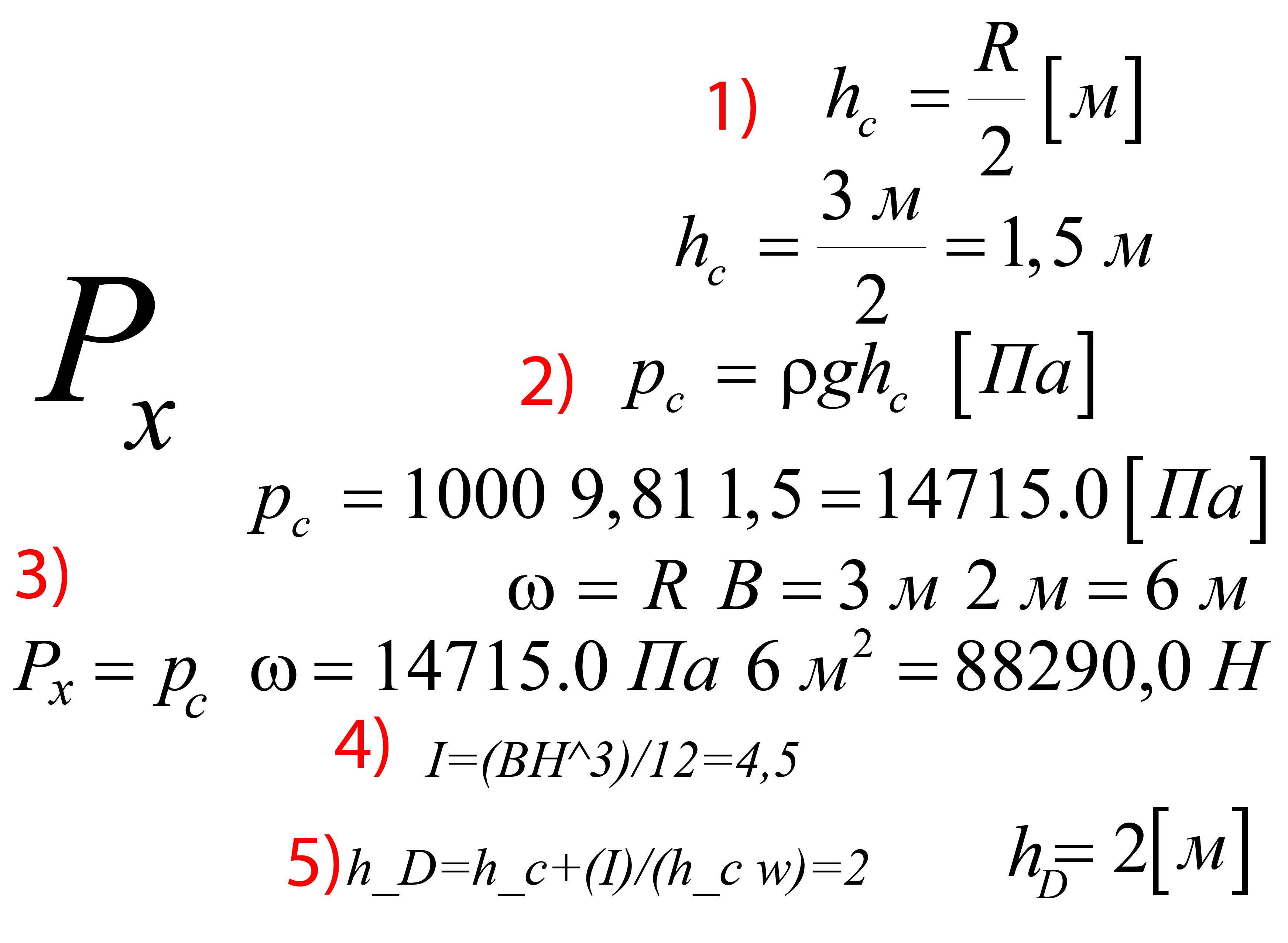
  1. Глибина занурення центру ваги вертикальної проекції затвору, яка має форму прямокутрика з розмірами: висота (величина радіуса) - 3 м й ширина 2 м (hc)
  2. Гідростатичний тиск в центрі ваги проекції(pc)
  3. Площа поверхні вертикальної проекції поверхні(w)
  4. Горизонтальна проекція сила гідростатичного тиску на поверхню(Px=(pc)(w))

2.Вертикальна проекція сили тиску - гідростатичний тиск на горизонтальну проекцію криволінійної поверхні:

  1. Об'єм тіла тиску (W)
  2. Вертикальна проекція сили тиску - вага рідини в об'ємі тіла тиску(Pz)

3.Сумарна сила гідростатичного тиску на криволінійну поверхню:

Сила тиску (P)

4.Кут "фи" напряму дії cумарної сили гідростатичного тиску на криволінійну поверхню:

Арктангенс відношення Pz до Px (кут "фи" - одиниці виміру "град")

5.Позначити на малюнку: кут "фи" напряму дії й вектор cумарної сили гідростатичного тиску на криволінійну поверхню

Вектор сумарної сили, горизонтальну й вертикальну проекції, кут "фи"

1.ГОРИЗОНТАЛЬНА ПРОЕКЦІЯ СИЛИ ГІДРОСТАТИЧНОГО ТИСКУ
розрахункові формули:

РОЗРАХУНОК ЗАДАЧІ
(для даної задачі центр тиску не розраховано)
(для заданої поверхні напрям дії вектора визначаєтся геометрично - через центр кола):

2.ВЕРТИКАЛЬНА ПРОЕКЦІЯ СИЛИ ГІДРОСТАТИЧНОГО ТИСКУ
розрахункові формули:

РОЗРАХУНОК ЗАДАЧІ

3.СУМАРНА СИЛА ТИСКУ (P), КУТ "фи"
розрахункові формули:

РОЗРАХУНОК ЗАДАЧІ

Проекції сили гідростатичного тиску й вектор сумарної сили

4.ВІДПОВІДЬ

Розраховані величини проекцій вектора сили, сумарна сила тиску, кут "фи". Приклад оформленя малюнка