\( \DeclareMathOperator{\abs}{abs} \newcommand{\ensuremath}[1]{\mbox{$#1$}} \)
Метод ітерацій (Method of iterations)
| (%i1) | kill(all); |
\[\]\[\tag{%o0} \ensuremath{\mathrm{done}}\]
| (%i1) | M(x):=0.9·x; |
\[\]\[\tag{%o1} \mathop{M}(x)\mathop{:=}0.9 x\]
| (%i2) | N(x):=2.2·(x+1)−5; |
\[\]\[\tag{%o2} \mathop{N}(x)\mathop{:=}2.2 \left( x\mathop{+}1\right) \mathop{-}5\]
| (%i3) | X(n):=((n+5)/2.2)−1; |
\[\]\[\tag{%o3} \mathop{X}(n)\mathop{:=}\frac{n\mathop{+}5}{2.2}\mathop{-}1\]
| (%i4) | R(x):=N(x)−M(x); |
\[\]\[\tag{%o4} \mathop{R}(x)\mathop{:=}\mathop{N}(x)\mathop{-}\mathop{M}(x)\]
| (%i32) |
plot2d([M(x),N(x)],[x,0,5], [legend, "M(x)","N(x)"], [style, [lines, 3,5], [lines, 3,1]]); |
\[\]\[\tag{%o32} false\]

| (%i6) | delta:0.1; |
\[\]\[\tag{%o6} 0.1\]
| (%i7) | i:0; |
\[\]\[\tag{%o7} 0\]
| (%i9) | m:M(i);o:X(m); |
\[\]\[\tag{%o8} 0\]
\[\]\[\tag{%o9} 1.2727272727272725\]
| (%i10) | if (M(o)−N(o)<delta)then display("OK")else display(M(o)−N(o)); |
\[\]\[1.1454545454545453\mathop{+}-0.0\mathop{=}1.1454545454545453\]
\[\]\[\tag{%o10} \ensuremath{\mathrm{done}}\]
| (%i12) | o;N(o); |
\[\]\[\tag{%o11} 1.2727272727272725\]
\[\]\[\tag{%o12} 0.0\]
| (%i13) |
plot2d([M(x),N(x),[discrete,[i,o],[M(i),N(o)]], [discrete,[o],[N(o)]]],[x,0,5], [legend, "M(x)","N(x)", "Iteration", "point"], [style, [lines, 3,5], [lines, 3,1], [lines, 2,2], [points,6,1 ]]); |
\[\]\[\tag{%o13} false\]

| (%i14) |
plot2d([M(x),N(x),[discrete,[i,o],[M(i),N(o)]],[discrete,[o,o],[M(o),N(o)]],[discrete,[o],[N(o)]]],[x,0,5], [legend, "M(x)","N(x)", "Iteration","Iteration_2", "point"], [style, [lines, 3,5], [lines, 3,1], [lines, 2,2],[lines, 5,3], [points,6,1 ]])$ |

| (%i15) | i:o; |
\[\]\[\tag{%o15} 1.2727272727272725\]
| (%i17) | m:M(i);o:X(m); |
\[\]\[\tag{%o16} 1.1454545454545453\]
\[\]\[\tag{%o17} 1.7933884297520657\]
| (%i18) | if (M(o)−N(o)<delta)then display("OK")else display(M(o)−N(o)); |
\[\]\[1.6140495867768592\mathop{+}\mathop{-}1.1454545454545446\mathop{=}0.46859504132231455\]
\[\]\[\tag{%o18} \ensuremath{\mathrm{done}}\]
| (%i19) |
plot2d([M(x),N(x),[discrete,[i,o],[M(i),N(o)]],[discrete,[o,o],[M(o),N(o)]],[discrete,[o],[N(o)]]],[x,0,5], [legend, "M(x)","N(x)", "Iteration_2","Iteration_3", "point"], [style, [lines, 3,5], [lines, 3,1], [lines, 2,2],[lines, 5,3], [points,6,1 ]])$ |

| (%i20) | i:o; |
\[\]\[\tag{%o20} 1.7933884297520657\]
| (%i22) | m:M(i);o:X(m); |
\[\]\[\tag{%o21} 1.6140495867768592\]
\[\]\[\tag{%o22} 2.006386175807663\]
| (%i23) | if (M(o)−N(o)<delta)then display("OK")else display(M(o)−N(o)); |
\[\]\[1.805747558226897\mathop{+}\mathop{-}1.6140495867768596\mathop{=}0.1916979714500373\]
\[\]\[\tag{%o23} \ensuremath{\mathrm{done}}\]
| (%i24) |
plot2d([M(x),N(x),[discrete,[i,o],[M(i),N(o)]],[discrete,[o,o],[M(o),N(o)]],[discrete,[o],[N(o)]]],[x,0,5], [legend, "M(x)","N(x)", "Iteration_3","Iteration_4", "point"], [style, [lines, 3,5], [lines, 3,1], [lines, 2,2],[lines, 5,3], [points,6,1 ]])$ |

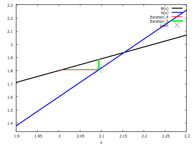
| (%i25) | i:o; |
\[\]\[\tag{%o25} 2.006386175807663\]
| (%i27) | m:M(i);o:X(m); |
\[\]\[\tag{%o26} 1.805747558226897\]
\[\]\[\tag{%o27} 2.093521617375862\]
| (%i28) | if (M(o)−N(o)<delta)then display("OK",M(o)−N(o))else display(M(o)−N(o)); |
\[\]\[\mbox{}\\"OK"\mathop{=}"OK" \]\[1.8841694556382758\mathop{+}\mathop{-}1.805747558226897\mathop{=}0.07842189741137884\]
\[\]\[\tag{%o28} \ensuremath{\mathrm{done}}\]
| (%i29) |
plot2d([M(x),N(x),[discrete,[i,o],[M(i),N(o)]],[discrete,[o,o],[M(o),N(o)]],[discrete,[o],[N(o)]]],[x,0,5], [legend, "M(x)","N(x)", "Iteration_4","Iteration_5", "point"], [style, [lines, 3,5], [lines, 3,1], [lines, 2,2],[lines, 5,3], [points,6,1 ]])$ |

| (%i30) |
plot2d([M(x),N(x),[discrete,[i,o],[M(i),N(o)]],[discrete,[o,o],[M(o),N(o)]],[discrete,[o],[N(o)]]],[x,1.9,2.3], [legend, "M(x)","N(x)", "Iteration_4","Iteration_5", "point"], [style, [lines, 3,5], [lines, 3,1], [lines, 2,2],[lines, 5,3], [points,6,1 ]])$ |
| (%i31) | del:M(o)−N(o); |
\[\]\[\tag{%o31} 0.07842189741137884\]

Created with wxMaxima.
The source of this Maxima session can be downloaded here.